Home » , , , » MODELING OF A WIND TURBINE GENERATOR USING WIND SPEED AS A CONTROLLED VARIABLE

MODELING OF A WIND TURBINE GENERATOR USING WIND SPEED AS A CONTROLLED VARIABLE

Presentation on MODELING OF A WIND TURBINE GENERATOR USING WIND SPEED AS A CONTROLLED VARIABLE

Problem Background
Automatic control is essential for efficient and reliable operation of wind power turbines and is an interesting, challenging research topic. Nowadays, variable speed wind turbines are becoming more common than constant speed turbines.This is mainly due to a better power quality impact, reduction of stresses in the turbine and the reduction of the weight and cost of the main components. The traditional fixed-speed turbines are stall regulated while the new, variable-speed turbines are pitch-regulated.
It is obvious that to maximize the efficiency of the turbine, we should be able to vary its rotational speed to follow the wind speed. The fluctuating nature of the wind makes the variable speed turbine a nontrivial object to control. The objective is to achieve high efficiency and at the same time have a smooth power output.The control variables are the electrodynamical torque and the wind speed.
Objectives
  1. To study the operation of wind turbine in different wind speed regions.
  2. To design a speed controller for low and medium wind speed interval
  3. To study the operational characteristics of fixed speed & variable speed wind turbine.
  4. To study the linear approximation of nonlinear characteristics wind turbine system.
  5. To simulate the wind turbine model (V-52) by using MATLAB simulink.
Methodology
The topology of simulation
Figure: The topology of simulation
Our simulation work is listed in following directions-
  1. For wind energy characteristics: To know the characteristics of wind energy and observe the variation with time.
  2. For wind Generator: To study the output of designed power system under wind change conditions for a definite generator model of V52.
  3. For control system: To construct the real time PI controller for system operation under different wind speed conditions such as low wind speed region and medium wind speed region.
Control scheme in low and medium wind speed
Figure: Control scheme in low and medium wind speed
Wind turbine operation
Different regions of wind turbine control
Figure: Different regions of wind turbine control
The control of a wind turbine consist three areas:
  1. [Vcutin ... Vn] Area where the turbine operate at "variable-speed" with an optimal rotor speed giving maximal energy.
  2. [Vn ... Vo] Operation around rated rotor speed, but below rated power.
  3. [Vo ... Vcutoff ] Turbine operate at full power and rated speed, pitch control active.
Mathematical equation
Wind power is a function of wind speed V,
Pwind = 0.5ρAturbV3
Power produced by the wind turbine,
Pturb = PwindCp(λ,β)
The power curve of a turbine is defined by the following equation
Cp = 0.5(116/λi – 0.4β -5) exp(-21/λi)
1/λi = (1/λ + 0.08β – 0.035/β³+1)
Where λ = ωr R/v
ωr is the rotational speed
v is the wind speed
R is the rotor radius
λ is the tip speed ratio
β is the pitch angle
V-52 wind turbine model specification
  1. Rotor diameter -52m
  2. Area swept -2124m²
  3. No of blade -3
  4. Power regulation –pitch/optispeed
  5. Air break –full blade pitch
  6. Cut in wind speed -4m/s
  7. Nominal wind speed -16m/s
  8. Cut out wind speed -25m/s
  9. Nominal output -850 kw
  10. Generator inertia -1800kg-m²
  11. Turbine inertia -55500 kg-m²
Simulink Block
control structure in simulink model
Figure: Control structure in simulink model.
output power in simulink model
Figure: Output power in simulink model.
Simulation Result
power coefficient(Cp) Vs tip speed ratio(λ)at different pitch angle
Figure: Power coefficient(Cp) Vs tip speed ratio(λ)at different pitch angle.
Cp Vs λ characteristics for fixed pitch angle β=1
Figure: Cp Vs λ characteristics for fixed pitch angle β=1.
power Vs. wind speed
Figure: Power Vs. wind speed.
power Vs wind speed (pu)
Figure: Power Vs wind speed (pu).
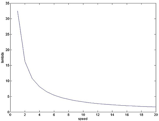
lambda Vs wind speed
Figure: Lambda Vs wind speed.
Cp Vs wind speed
Figure: Cp Vs wind speed.
Step Response
Step Response
Step Response
steps in wind speed, Kp = 2000 and Ki = 200
steps in wind speed, Kp = 2000 and Ki = 200
steps in wind speed, Kp = 200 and Ki = 20
steps in wind speed, Kp = 200 and Ki = 20
steps in wind speed, Kp = 200 and Ki = 20
steps in wind speed, Kp = 200 and Ki = 20
Figure: steps in wind speed, Kp = 200 and Ki = 20
wind power Vs time(s)
Figure: wind power Vs time(s)
Conclusion
  1. The purpose of this thesis has been to evaluate how variable speed control can reduce fatigue damage on mechanical parts of a wind turbine.
  2. In the low wind speed a controller implementation using a proper tuning a reduction of the mechanical stresses can be achieved without loosing a significant amount of energy (usually by using a slow speed controller).
  3. For middle wind speeds, a special approach makes it possible to reduce speed and torque variations. Pitch regulation in this interval would probably futher improve the results.
  4. For the middle wind speed it also possible to reduce the torque and speed variations by a proper tuning of the PI controller.
Submitted By Salim Raza Rasel Md. Abul Hasnat
Share this article :